CTB系列半逆流濕式磁選機
添加時間:2019-03-26 10:22:15 瀏覽量:3829

概述:
CTB型半逆流濕式磁選機適用于濕式選別礦石粒度為0.5mm以下強磁性物料的掃選和精選,尤其適用于粒度為0.15~0mm礦物的精選。或者除去非磁性礦物中混雜的強磁性礦物。CTB型半逆流濕式磁選機可以獲得高質量的鐵精礦,同時也能得到較好的回收率,所以半逆流磁選機在生產實踐中得到廣泛的應用。本機可以連續給礦和排礦,磁場強度大,磁場梯度高,具有較高的處理能力。可以多臺串聯和并聯,實現多次的掃選和精選。
工作原理:
當礦漿進入磁場區時,其中強磁性礦物被吸附在滾筒表面,弱磁性和非磁性礦物被水流沖洗排出,而吸附在滾筒表面上的磁性礦物隨滾筒旋轉,被帶出磁場區,用沖洗水沖入精礦槽中,完成分選作業。

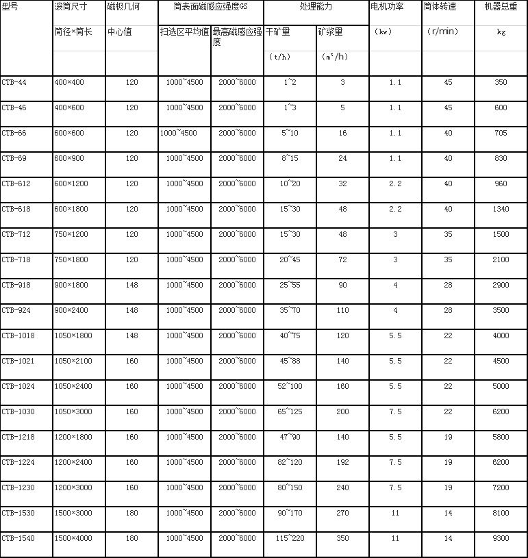
主要技術參數:

注:1.根據安裝方位分左右式兩種結構。
2.筒表磁感應強度中掃選區平均值和最高磁感應強度值根據不同礦物含鐵情況和不同的選別要求確定的,磁場
強度范圍從 1000GS至6000GS均可制作。
上一篇:第一篇
下一篇:CTN系列全逆流濕式磁選機

服務熱線:










